down AfD BW | Kreisverband Ortenau

Anträge des Vaihinger Gemeinderats

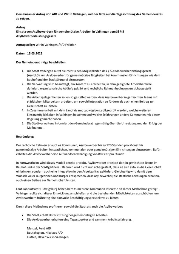
KV-LUDWIGSBURG - 27.04.2025

 

 

 

 

Teile diesen Beitrag in den sozialen Medien:

left Zurück zur Übersicht

Diese Beiträge könnten Sie auch interessieren:


Stammtisch des Ortsverbands Murgtal im Hotel Restaurant Syrtaki

calendar 27.03.2026 user AfD OV Murgtal
Der Ortsverband Murgtal lädt am Freitag, den 27.03.2026 zum Stammtisch im Hotel Restaurant Syrtaki in Gernsbach ein. Themen des Abends werden Windkraft im Murgtal, Nachlese zur Landtagswahl sowie kommunale Themen ein. Beginn der Veranstaltung ist 18:00 Uhr.
right   Weiterlesen

Treffen des Stadtverbands Baden-Baden in Haueneberstein

calendar 20.03.2026 user AfD Baden-Baden
Der Stadtverband Baden-Baden der Alternative für Deutschland (AfD) lädt am Freitag, den 20. März 2026, um 18.00 Uhr alle interessierten Bürger zu seinem Monatstreffen in das Hotel Hirsch, Karlsruher Str. 34, 76532 Baden-Baden (Haueneberstein) ein. Wir werden über aktuelle Themen diskutieren u...
right   Weiterlesen

Herzlichen Dank an alle Wählerinnen und Wähler der AfD

calendar 15.03.2026 user Kreisverband Waldshut-Tiengen
Wir danken allen Wählerinnen und Wählern sowie unseren Unterstützern im Kreisverband Waldshut für das entgegengebrachte Vertrauen. Mit einem Ergebnis über dem Landesdurchschnitt und einer gestärkten Fraktion werden wir uns mit voller Kraft für Baden-Württemberg einsetzen. Seit der letzten Wa...
right   Weiterlesen

Stammtisch Ost

calendar 13.03.2026 user OV Bodenseekreis Ost
Am Donnerstag, den 19. März 2026 um 18 Uhr ist wieder der AfD-Stammtisch Ost in Kressbronn. Wir freuen uns auf bekannte und neue Gesichter! Details bitte per E-Mail erfragen.
right   Weiterlesen

Einladung zur Wahlparty am 13. März im Hotel Hirsch in Haueneberstein

calendar 13.03.2026 user KV Baden-Baden/Rastatt
Liebe Parteifreunde und Mitglieder, wir laden herzlich zu unserer Wahlparty mit Alexander Arpaschi MdB sowie unseren Kandidaten Kurt Hermann, Philipp Helber und Joachim Kuhs, am Freitag den 13.03.2026 im Hotel Hirsch in Haueneberstein ein.  Beginn der Veranstaltung ist 19:00 Uhr.
right   Weiterlesen

Pressemitteilung Andreas Grammel und Miguel Klauß MdL vertreten die AfD im Landtag Baden-Württemberg

calendar 12.03.2026 user KV-CALW-FREUDENSTADT
Pressemitteilung Andreas Grammel und Miguel Klauß MdL vertreten die AfD im Landtag Baden-Württemberg Freudenstadt / Calw, den 12. März 2026 – Mit überzeugenden Ergebnissen in ihren Wahlkreisen ziehen Andreas Grammel (Wahlkreis Freudenstadt) und Miguel Klauß MdL (Wahlkreis Calw) für die A...
right   Weiterlesen

Die AfD-Wahlergebnisse im Wahlkreis Bodensee

calendar 09.03.2026 user Thorsten Peters
Das vorläufige Wahlergebnis der Landtagswahl 2026 im Wahlkreis Bodensee ist vom Landkreis hier veröffentlicht worden. Von dort stammt die bunte Grafik mit den Zweitstimmen je Partei. Daraus lässt sich auch die jeweilige Veränderung zur letzten Landtagswahl im Jahr 2021 ablesen (helle Balken). H...
right   Weiterlesen

Landtagswahl Baden - Württemberg 2026

calendar 09.03.2026 user KV-RHEIN-NECKAR
Fulminanter Zuwachs im Land: Die AfD hat ihr Wahlergebnis fast verdoppelt und wird damit drittstärkste Kraft im Land!  Leimen, 9. März 2026 – Unser AfD-Kreisverband Rhein-Neckar freut sich gemeinsam über ein historisches Ergebnis bei der Landtagswahl. Landesweit konnte die AfD mit 18,8 Prozen...
right   Weiterlesen

Danke

calendar 09.03.2026 user KV-LUDWIGSBURG
Danke für Ihr Vertrauen – Gemeinsam für Baden-Württemberg Liebe Bürgerinnen und Bürger, liebe Unterstützerinnen und Unterstützer, ich bin tief bewegt und von Herzen dankbar für das Vertrauen, das Sie mir mit Ihrer Stimme entgegengebracht haben. Der Einzug in den Landtag von Baden-Württ...
right   Weiterlesen

Herzlichen Glückwunsch!

calendar 09.03.2026 user KV-LUDWIGSBURG
Wir gratulieren unseren 3 Kandidaten Nikolaos Boutakoglou, Christoforos Tsoulopoulos und Reno Geisler zu einem starken Wahlergebnis, das letztlich nur durch eine starke Teamleistung möglich war! Danke für euren unermüdlichen Einsatz im Wahlkampf, danke für die vielen Stunden bei euren Podiumsd...
right   Weiterlesen

Wahlparty heute Abend

calendar 08.03.2026 user KV-BODENSEE
Heute, 8. März 2026, um 18 Uhr in Eriskirch. Einlass ab 17 Uhr. Details bitte per E-Mail erfragen: party@halloafd.de
right   Weiterlesen

Infostände Ludwigsburg und Markgröningen am 07.03.2026

calendar 07.03.2026 user KV-LUDWIGSBURG
Endspurt in Ludwigsburg und Markgröningen Am Tag vor der Wahl gaben unsere Kandidaten und Mitglieder nochmal alles! Die Stimmung an beiden Infoständen war super, alle sind voller Erwartung auf den Ausgang der morgigen Landtagswahl. Auch wenn uns die letzten Umfragen eher Fragezeichen in die Auge...
right   Weiterlesen

Lust auf mehr? Downloads

Grundsatzprogramm zur Bundestagswahl 2025

Sie können unser Grundsatzprogramm jeweils in einer Lang- und Kurzfassung, sowie das aktuelle Europawahlprogramm 2024 als PDF herunterladen.
Zum betrachten von PDF-Dokumenten muss Ihr Gerät ggf. einen PDF-Reader wie z.B. den Acrobat Reader installiert haben.

up